Warning:
JavaScript is turned OFF. None of the links on this page will work until it is reactivated.
If you need help turning JavaScript On, click here.
The Concept Map you are trying to access has information related to:
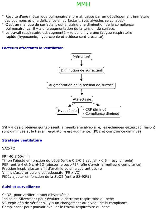
MMH, Augmentation de la tension de surface Atélectasie, Atélectasie Hypoxémie, Atélectasie - CRF diminué - Compliance diminué, Prématuré Diminution de surfactant, Diminution de surfactant Augmentation de la tension de surface