Warning:
JavaScript is turned OFF. None of the links on this page will work until it is reactivated.
If you need help turning JavaScript On, click here.
The Concept Map you are trying to access has information related to:
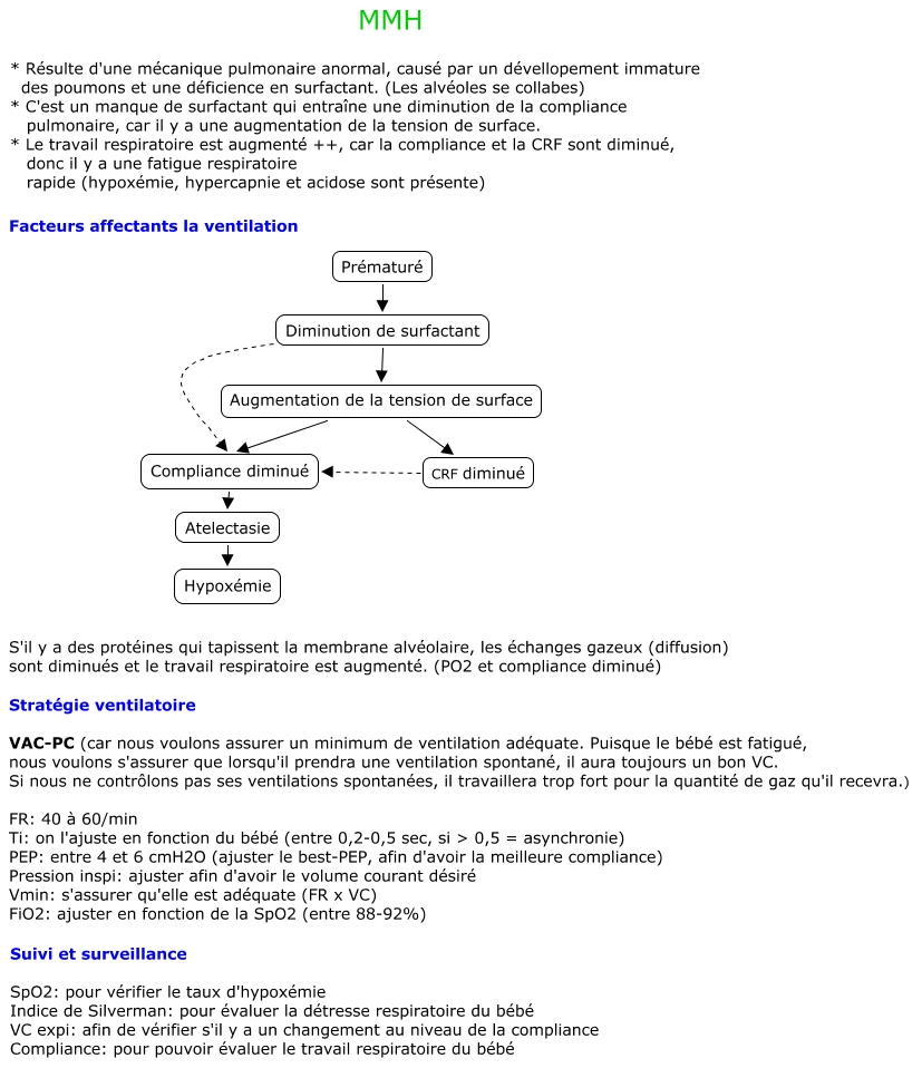
MMH2, Atelectasie Hypoxémie, Augmentation de la tension de surface CRF diminué, Augmentation de la tension de surface Compliance diminué, CRF diminué Compliance diminué, Diminution de surfactant Compliance diminué, Prématuré Diminution de surfactant, Compliance diminué Atelectasie, Diminution de surfactant Augmentation de la tension de surface