IHMC Public Cmaps (2)

        __________________________________________________________________________________________---Columbus UniversityComtec________________________---
            Comteceduc-octubre 2013
                Comunicación y Tecnología Eductiva - septiembre
                    Comunicacion y Tecnologia Grupo Agosto 2013
                    Araúz, Yarenis

                        Recursos para ECUACIONES CUADRATICAS
                        COMPLETANDO EL CUADRADO.url
                        Ecuac de 2grad Completan Cuadrado web .ppt
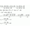
                        ecuaciones2_2s[1].gif
                        ECUACIONES CUADRATICAS.cmap
                        FACTORIZACIÓN SIMPLE 01.url
                        FACTOR SIMPLE.jpg
                        FÓRMULA CUADRÁTICA.url
                        maxresdefault.jpg
                        pdf.url
                        prezi cuadraticas.url
                        Unidad_5.PDF
                        video.url
                        video1.url
                        WEB DE ECUACIONES CUADRÁTICAS.url