IHMC Public Cmaps (2)

        japonecio
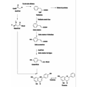
            Metabolitos secundarios
            Antocianina

                acido malonico.jpg
                antocianinas2.png
                antocinaninas.url
                chalcona.jpg
                comarato.jpg
                dihidrochalcona.jpg
                fenilalanina.gif
                fenilpropanoides.bmp
                flavo.gif
                -Flavonoid-biosintesis-ruta-completa.gif
                glucolisis.jpg
                malonil coa.png
                metabol fenil.gif
                metabolismo de la antocianina.cmap
                Shikimate_pathway_2.png