WARNING:
JavaScript is turned OFF. None of the links on this concept map will
work until it is reactivated.
If you need help turning JavaScript On, click here.
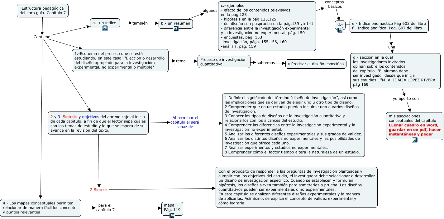
Este Cmap, tiene información relacionada con: Estructura pedagógica del capítulo 7, Proceso de investigación cuantitativa subtemas • Precisar el diseño específico, c.- ejemplos: - efecto de los contenidos televisivos en la pág 123 - hipótesis en la pág 125,125 - del diseño con posprueba en la pág.139 yb 141 - diferencia entre la investigación experimental y la investigación no experimental, pág. 150 - encuestas, pág. 153 -investigación, págs. 155,156, 160 -análisis, pág. 159 conceptos básicos d.-, 2 y 3 Síntesis y objetivos del aprendizaje al inicio de cada capítulo, a fin de que el lector sepa cuáles son los temas de estudio y lo que se espera de su avance en la revisión del texto. Al terminar el capítulo el será capaz de 1 Definir el significado del término “diseño de investigación”, así como las implicaciones que se derivan de elegir uno u otro tipo de diseño. 2 Comprender que en un estudio pueden incluirse uno o varios diseños de investigación. 3 Conocer los tipos de diseños de la investigación cuantitativa y relacionarlos con los alcances del estudio. 4 Comprender las diferencias entre la investigación experimental y la investigación no experimental. 5 Analizar los diferentes diseños experimentales y sus grados de validez. 6 Analizar los distintos diseños no experimentales y las posibilidades de investigación que ofrece cada uno. 7 Realizar experimentos y estudios no experimentales. 8 Comprender cómo el factor tiempo altera la naturaleza de un estudio., b.- un resumen algunos c.- ejemplos: - efecto de los contenidos televisivos en la pág 123 - hipótesis en la pág 125,125 - del diseño con posprueba en la pág.139 yb 141 - diferencia entre la investigación experimental y la investigación no experimental, pág. 150 - encuestas, pág. 153 -investigación, págs. 155,156, 160 -análisis, pág. 159, Estructura pedagógica del libro guía. Capítulo 7 Contiene 4.- Los mapas conceptuales permiten relacionar de manera fácil los conceptos y puntos relevantes, Estructura pedagógica del libro guía. Capítulo 7 Contiene 1.-Esquema del proceso que se está estudiando, en este caso: "Elección o desarrollo del diseño apropiado para la investigación: experimental, no experimental o múltiple", a.- un índice también b.- un resumen, Estructura pedagógica del libro guía. Capítulo 7 Contiene 2 y 3 Síntesis y objetivos del aprendizaje al inicio de cada capítulo, a fin de que el lector sepa cuáles son los temas de estudio y lo que se espera de su avance en la revisión del texto., 1.-Esquema del proceso que se está estudiando, en este caso: "Elección o desarrollo del diseño apropiado para la investigación: experimental, no experimental o múltiple" tema Proceso de investigación cuantitativa, g.- sección en la cual los investigadores invitados opinan sobre los contenidos del capítulo. "El alumno debe ser investigador desde que inicia sus estudios..."M. A. IDALIA LÓPEZ RIVERA, pág 169 yo aporto con mis asociaciones conceptuales del capítulo LLenar cuadro en word, guardar en en pdf, hacer instantáneas y pegar, d.- un e.- Indice onomástico Pág 603 del libro f.- Indice analítico. Pag. 607 del libro, 4.- Los mapas conceptuales permiten relacionar de manera fácil los conceptos y puntos relevantes para el capítulo 7 mapa Pág. 119, Estructura pedagógica del libro guía. Capítulo 7 Contiene a.- un índice, 2 y 3 Síntesis y objetivos del aprendizaje al inicio de cada capítulo, a fin de que el lector sepa cuáles son los temas de estudio y lo que se espera de su avance en la revisión del texto. 2 Síntesis Con el propósito de responder a las preguntas de investigación planteadas y cumplir con los objetivos del estudio, el investigador debe seleccionar o desarrollar un diseño de investigación específico. Cuando se establecen y formulan hipótesis, los diseños sirven también para someterlas a prueba. Los diseños cuantitativos pueden ser experimentales o no experimentales. En este capítulo se analizan diferentes diseños experimentales y la manera de aplicarlos. Asimismo, se explica el concepto de validez experimental y cómo lograrla., e.- Indice onomástico Pág 603 del libro f.- Indice analítico. Pag. 607 del libro una g.- sección en la cual los investigadores invitados opinan sobre los contenidos del capítulo. "El alumno debe ser investigador desde que inicia sus estudios..."M. A. IDALIA LÓPEZ RIVERA, pág 169