WARNING:
JavaScript is turned OFF. None of the links on this concept map will
work until it is reactivated.
If you need help turning JavaScript On, click here.
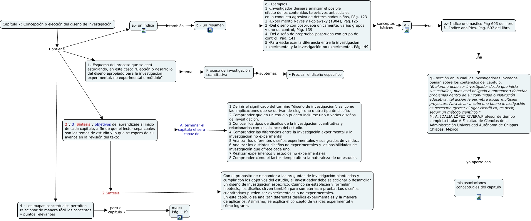
Este Cmap, tiene información relacionada con: CAPITULO 7, Proceso de investigación cuantitativa subtemas • Precisar el diseño específico, c.- Ejemplos: 1.-Investigador deseara analizar el posible efecto de los contenidos televisivos antisociales en la conducta agresiva de determinados niños, Pág. 123 2.-Experimento Naves y Poplawsky (1984), Pág.125 3.-Del diseño con posprueba únicamente, varios grupos y uno de control, Pág. 139 4.-Del diseño de preprueba-posprueba con grupo de control, Pág. 141 5.-Para esclarecer la diferencia entre la investigación experimental y la investigación no experimental, Pág 149 conceptos básicos d.-, 2 y 3 Síntesis y objetivos del aprendizaje al inicio de cada capítulo, a fin de que el lector sepa cuáles son los temas de estudio y lo que se espera de su avance en la revisión del texto. Al terminar el capítulo el será capaz de 1 Definir el significado del término “diseño de investigación�?, así como las implicaciones que se derivan de elegir uno u otro tipo de diseño. 2 Comprender que en un estudio pueden incluirse uno o varios diseños de investigación. 3 Conocer los tipos de diseños de la investigación cuantitativa y relacionarlos con los alcances del estudio. 4 Comprender las diferencias entre la investigación experimental y la investigación no experimental. 5 Analizar los diferentes diseños experimentales y sus grados de validez. 6 Analizar los distintos diseños no experimentales y las posibilidades de investigación que ofrece cada uno. 7 Realizar experimentos y estudios no experimentales. 8 Comprender cómo el factor tiempo altera la naturaleza de un estudio., b.- un resumen algunos c.- Ejemplos: 1.-Investigador deseara analizar el posible efecto de los contenidos televisivos antisociales en la conducta agresiva de determinados niños, Pág. 123 2.-Experimento Naves y Poplawsky (1984), Pág.125 3.-Del diseño con posprueba únicamente, varios grupos y uno de control, Pág. 139 4.-Del diseño de preprueba-posprueba con grupo de control, Pág. 141 5.-Para esclarecer la diferencia entre la investigación experimental y la investigación no experimental, Pág 149, Capítulo 7: Concepción o elección del diseño de investigación Contiene 4.- Los mapas conceptuales permiten relacionar de manera fácil los conceptos y puntos relevantes, Capítulo 7: Concepción o elección del diseño de investigación Contiene 2 y 3 Síntesis y objetivos del aprendizaje al inicio de cada capítulo, a fin de que el lector sepa cuáles son los temas de estudio y lo que se espera de su avance en la revisión del texto., Capítulo 7: Concepción o elección del diseño de investigación Contiene 1.-Esquema del proceso que se está estudiando, en este caso: "Elección o desarrollo del diseño apropiado para la investigación: experimental, no experimental o múltiple", a.- un índice también b.- un resumen, 1.-Esquema del proceso que se está estudiando, en este caso: "Elección o desarrollo del diseño apropiado para la investigación: experimental, no experimental o múltiple" tema Proceso de investigación cuantitativa, g.- sección en la cual los investigadores invitados opinan sobre los contenidos del capítulo. "El alumno debe ser investigador desde que inicia sus estudios, pues está obligado a aprender a detectar problemas dentro de su comunidad o institución educativa; tal acción le permitirá iniciar múltiples proyectos. Para llevar a cabo una buena investigación es necesario ejercer el rigor científi co, es decir, seguir un método científico." M. A. IDALIA LÓPEZ RIVERA,Profesor de tiempo completo titular A Facultad de Ciencias de la Administración Universidad Autónoma de Chiapas Chiapas, México yo aporto con mis asociaciones conceptuales del capítulo, d.- un e.- Indice onomástico Pág 603 del libro f.- Indice analítico. Pag. 607 del libro, Capítulo 7: Concepción o elección del diseño de investigación Contiene a.- un índice, 2 y 3 Síntesis y objetivos del aprendizaje al inicio de cada capítulo, a fin de que el lector sepa cuáles son los temas de estudio y lo que se espera de su avance en la revisión del texto. 2 Síntesis Con el propósito de responder a las preguntas de investigación planteadas y cumplir con los objetivos del estudio, el investigador debe seleccionar o desarrollar un diseño de investigación específico. Cuando se establecen y formulan hipótesis, los diseños sirven también para someterlas a prueba. Los diseños cuantitativos pueden ser experimentales o no experimentales. En este capítulo se analizan diferentes diseños experimentales y la manera de aplicarlos. Asimismo, se explica el concepto de validez experimental y cómo lograrla., 4.- Los mapas conceptuales permiten relacionar de manera fácil los conceptos y puntos relevantes para el capítulo 7 mapa Pág. 119, e.- Indice onomástico Pág 603 del libro f.- Indice analítico. Pag. 607 del libro una g.- sección en la cual los investigadores invitados opinan sobre los contenidos del capítulo. "El alumno debe ser investigador desde que inicia sus estudios, pues está obligado a aprender a detectar problemas dentro de su comunidad o institución educativa; tal acción le permitirá iniciar múltiples proyectos. Para llevar a cabo una buena investigación es necesario ejercer el rigor científi co, es decir, seguir un método científico." M. A. IDALIA LÓPEZ RIVERA,Profesor de tiempo completo titular A Facultad de Ciencias de la Administración Universidad Autónoma de Chiapas Chiapas, México