IHMC Public Cmaps (2)

        Independencia lineal de vectores
        Recursos para Independencia Lineal

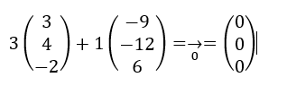
            combinacion no trivial.png
            combinacion trivial.png
            vector cero.png
            vectores linealmente dependientes.png
            vectores linealmente independientes.png