IHMC Public Cmaps (2)

    YJC

        180px-Saed.jpg
        1f80dd436b47244c8696a49fb5249fba.png
        202-Kian,xu Op Amp.cmap
        208_ck_kl_nuclear.cmap
        208- A Stroke of Genius (W.E.P.).cmap
        208 Jas IG.cmap
        215_quantum.cmap
        215 Alternating Current.cmap
        215 circular motion.cmap
        215 raymond.cmap
        215-Superposition.cmap
        215-Superpostion.cmap
        222px-Photoelectric_effect.png
        320px-Sine_wave.svg
        5a0ecaa1432c6cdce653a943b4962a21.png
        Bra-Ket Notation.url
        Capacitor.png
        Chun's Fluids.cmap
        Eigenvalue.jpg
        Emission_spectrum-Fe.png
        fluids.cmap
        full-wave1.jpg
        full-wave2.jpg
        Functional Groups.cmap
        half-wave.jpg
        hyde4.gif
        hydln.jpg
        image.jpg
        Mr Fredrick.cmap
        Newton's 2nd Law of Motion dynamic3.cmap
        Nitrogen compounds - Proteins.cmap
        not mr fredrick.cmap
        Op Amp.cmap
        P1010175copy.JPG
        P1010178.JPG
        Particle_chart.jpg
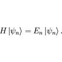
        Schrodinger Equation.cmap
        Schrodinger Equation.url
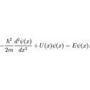
        SE - TI 1D.jpg
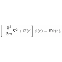
        SE - TI 3D.jpg
        step-down.jpg
        step-up.jpg
        Temperature.cmap
        transmission.jpg
        Untitled 2.cmap
        wee loo kang radioactivity.cmap