IHMC Public Cmaps (2)

        logica y argumentacion lmp
        Recursos para LOGICA Y ARGUMENTACION

            ARGUMENTOS POR ANALOGÍA.docx
            bicondicinal.jpg
            conclusion.jpg
            conjuncion.jpg
            DIAGRAMA Y ESTRUCTRA DE UN ARGUMENTO.docx
            disyuncion.jpg
            GENERALIZACIÓN INDUCTIVA.docx
            indicadores.jpg
            interpretacion.docx
            marcadoresConclusión.png
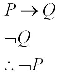
            modus-tollens.jpg
            negacion.jpg
            Premisas Implícitas.jpg
            RAZONAMIENTO DEDUCTIVO.docx
            RAZONAMIENTO DEDUCTIVO INVÁLIDO.docx
            RAZONAMIENTO DEDUCTIVO VÁLIDO.docx
            RAZONAMIENTO INDUCTIVO.docx
            RAZONAMIENTO INDUCTIVO DEBIL.docx
            RAZONAMIENTO INDUCTIVO FUERTE.docx
            texto argumentativo.jpg