IHMC Public Cmaps (2)

    disequazioni irrazionali

        Casi particolari di disequazioni irrazionali.pdf
        commento1.mp3
        commento2.mp3
        commento3.mp3
        commento4.mp3
        commento5.mp3
        commento6.mp3
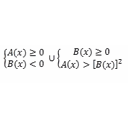
        diseq irraz maggiore.jpg
        diseq irraz minore.jpg
        disequazioni irrazionali maggiore.url
        disequazioni irrazionali - risoluzione algebrica.cmap
        disequazioni irrazionali - risoluzione grafica.cmap
        disequazioni irrazionali- un esempio di risoluzione.url
        disequazioni irrazionali - un secondo esempio.url
        disquazioni irrazionali e loro risoluzione.cmap
        funzione irrazionale grafico.ggb.ggb
        image.jpg
        inequality solver.url
        inequality solver tutorial.url
        logo geogebra.jpg
        material-28197.ggb
        parabola.png
        retta parallela asse x.png
        rettaqualsiasi.png
        studio di una funzione irrazionale.cmap
        Traccia il grafico delle seguenti funzioni irrazionali.pdf
        un esempio.url
        un esempio di problema.url